KNOWLEDGE
浙江中耐泵业有限公司
客服:0577-66998225
传真:0577-66998228
地址:浙江省永嘉县瓯北镇三桥工业区
泵的知识
水泵的吸水性能
时间:2016-5-3 9:47:32来源:www.b-fz.com作者:中耐泵业
水泵的吸水性能
1、允许吸上真空高度Hs
为保证水泵不发生汽蚀,在水泵进口处所允许的大真空值,以米水柱表示。Hs是表示离心泵和卧式混流泵吸水性能的一种方式。泵类产品样本中,用Q~Hs曲线来表示水泵的吸水性能。
2、汽蚀余量(NPSH)
(1)汽蚀余量的概念 是指在水泵进口处,单位重力的水所具有的大于饱和蒸汽压力的富余能量,以米水柱表示。(NPSH)是表示轴流泵、立式混流泵、锅炉给水泵吸水性能的。
(2)临界汽蚀余量(NPSH)a 是指泵内低压力点的压力为饱和蒸汽压力时,水泵进口处的汽蚀余量。临界汽蚀余量为泵内发生汽蚀的临界条件。
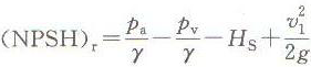
(3)必需汽蚀余量(NPSH)r 泵类产品样本中所提供的汽蚀余量是临界汽蚀余量。为了保证水泵正常工作时不发生汽蚀,将临界汽蚀余量适当加大,即为必需汽蚀余量。其计算式为:(NPSH)r=(NPSH)a+0.3m
对于大型泵,一方面(NPSH)a较大,另一方面从模型试验换算到原型泵时,由于比例效应的影响,0.3m的安全值尚嫌小,(NPSH)r可采用下式计算:(NPSH)r=(1.1~1.3)(NPSH)a
3、允许吸上真空高度和汽蚀余量的关系


上两式中
——安装水泵处的大气压力水头,m,与海拔高度有关,见表一;
——饱和蒸汽压力水头,m,与水温有关,见表二;
——水泵进口处的流速水头,m。
不同海拔高程大气压力值
|
海拔高程(m) |
0 |
100 |
200 |
300 |
400 |
500 |
600 |
700 |
800 |
900 |
1000 |
2000 |
3000 |
4000 |
5000 |
|
|
10.33 |
10.22 |
10.11 |
9.97 |
9.89 |
9.77 |
9.66 |
9.55 |
9.44 |
9.33 |
9.22 |
8.11 |
7.47 |
6.52 |
5.57 |
水温与饱和蒸汽压力的关系
|
水温(℃) |
0 |
5 |
10 |
20 |
30 |
40 |
50 |
60 |
70 |
80 |
90 |
100 |
|
|
0.06 |
0.09 |
0.12 |
0.24 |
0.43 |
0.75 |
1.25 |
2.02 |
3.17 |
4.82 |
7.14 |
10..33 |
- 卧式螺杆泵工作方式及水平输送优势对比
- 自吸螺杆泵特点及自吸原理解析与使用注意事项
- 立式螺杆泵运行原理及垂直安装的优点评述
- 水喷射泵在工业领域中的应用案例与优势展示
- 化工泵厂家的产品研发实力和技术创新能力评述
- G型螺杆泵特点与适用领域探讨
- 漩涡泵工作原理及不同类型泵的比较
- 高温化工泵的设计特点及耐热性能评估
- 无极调速螺杆泵技术特点与流体输送效率优化策略分析
- 喷射真空泵工作原理及气体排放效率研究
- 人防手摇泵功能特点及紧急情况下的应用考量
- 浓硫酸管道泵的设计原理与材料选型探究
- GS型手摇泵在液体输送中的效率优势和维护方法介绍
- 单级漩涡泵的结构设计和运行特性解析
- 防爆油桶泵安全等级标准及防护机制探讨
- 计量油泵的准确性与计量标准解读