数解法求离心泵装置的工况点
离心泵装置工况点的数借,其数学依据是如何由泵及管道系统特性曲线方程中解出Q和H值,也即由下列两个方程式中求解Q、H值。
![]()
由式(2-55)、式(2-56)可见:两个方程式求两个未知数是完全可能的,关键在于如何来确定泵的H=f(Q)函数关系。
现假设水泵厂样本中所提供Q-H曲线上的高效段,可用下列方程的形式来表示,即
H=Hx-hx (2-57)
式中 H——泵的实际扬程;
Hx——泵在Q=0时所产生的虚总扬程;
hx——相应于流量为Q时,泵体内的虚水头损失之和,hx=SxQ;
Sx——泵体内虚阻耗系数;
m——指数。对给水管道一般m=2或m=1.84。
现采用m=2,则得
H=Hx-SxQ² (2-58)

图1 离心泵虚扬程
图1为式(2-58)的图示形式。它将泵的高效段SxQ²视为曲线的一个组成部分,并延长与纵轴相交得Hx值。然后,在高效段内任意选取两点的坐标,代入式(2-58),此两点一定能满足此方程式,即:
![]()
对于一台泵而言:
![]()
因H1、H2、Q1、Q2均为已知值,故可以求出Sx值。将式(2-59)代入式(258)可得:
![]()

由式(2-60)可以求出Hx值。表2-2所示为根据水泵厂生产的SA型及部分旧型号离心泵的资料求得的Hx及Sx值。在求出了Hx及Sx值后,泵的Q-H特殊曲线方程式,就可以写出为:
H=Hx-SxQ² (2-61)
当离心泵工作时,由式2-56)及式(2-61)可得:
![]()
也即: ![]()
式中Hx、Sx及∑S均为已知值,当HST一定时,即可求出泵相应工况点的流量和扬程。
上述方程式(2-61)的建立,是把泵的高效段视为二次抛物线上的一段。采用这种方式来建立Q-H特性曲线方程,称为抛物线法。但是,实际上并不是每台泵的高效段均能满足此假设条件的。这样,在实际采用中就会存在一定的误差。
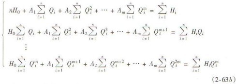
拟合离心泵Q-H曲线方程的另一途径是采用小二乘法来进行。设Q-H曲线可用下列多项式拟合:
![]()
则根据小二乘原理求H0、A1、A2、…、Am的线性方程组(亦称正则方程组)为:

解式(2-63b)式就可求得H0、A1、A2、…、Am。
实际工程中,一般取m=2或m=3。
m=2时 H=Ho+A1Q+A2Q² (2-63c)
m=3时 H=Ho+A1Q+A2Q²+A3Q³ (2-63d)
【例2】现有14SA-10型离心泵一台,转速n=1450r/min,叶轮直径D=466mm,其Q-H特性曲线如图2-27所示。试拟合Q-H特性曲线方程。
14SA-10型离心泵Q-H曲线上的坐标值(表2-3)
|
型号 |
已知各点的坐标值 |
待计算值 |
||||||||
|
Ho |
Qo |
H1 |
Q1 |
H2 |
Q2 |
H3 |
Q3 |
A1 |
A2 |
|
|
14SA-10 |
72 |
0 |
70 |
240 |
65 |
340 |
60 |
380 |
0.0168 |
-0.00017 |
【解】由14SA-10型的Q-H特性曲线上,取包括(Qo,Ho)在内的任意4点,其值见表2-3.上表中H值单位为m,Q值单位为L/s。求解过程为:
已知的坐标值代入式(2-63b)方程,可得:
![]()
将上式简化后,解得:
A1=0.168; A2=-0.000017
将结果A1、A2值代入式(2-63a),得出该泵的Q-H特性曲线方程为:
H=72+0.168Q-0.00017Q²
将上式与该泵装置的管道特性曲线方程
联立,即可求得其工况点的(Q,H)值。
数解法求离心泵装置的工况点由专业从事离心泵、管道离心泵、多级离心泵、不锈钢离心泵、防爆离心泵、耐腐蚀离心泵生产的温州中耐泵阀有限公司提供,